Площадь шара
Площадь шара — это число, характеризующее шар в единицах измерения площади.
Шар — это тело, ограниченное поверхностью вращения (сферой), образующей окружности вокруг оси лежащей в плоскости этой окружности и проходящей через её центр.
Обозначения
R — радиус шара;
D — диаметр шара;
Sшар — площадь поверхности шара;
Vшар — объём шара.
Формула
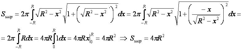
Вывод формулы
- Для вывода используется формула 1 "площадь поверхности фигуры вращения".
Другие фигуры:
- фигура вращения;
- шар;
- цилиндр;
- конус;
- усечённый цилиндр;
- усечённый конус;
- шаровой сегмент;
- шаровой сектор;
- шаровой слой;
- шаровой клин;
- центральный шаровой клин;
- торовый клин;
- цилиндрическая труба;
- цилиндрическое копыто;
- конусное копыто;
- шаровое копыто;
- шаровая бочка;
- круговая бочка;
- сегментное кольцо;
- тор;
- кокон;
- купол;
- сфероид;
- параболоид.
Ссылки
- Бронштейн М.Н., Семендяев К.А., Справочник по математике. М., 1956, стр.177.