Площадь поверхности круговой бочки
Площадь поверхности круговой бочки — это сумма боковой площади бочки и площадей верхнего и нижнего оснований бочки.
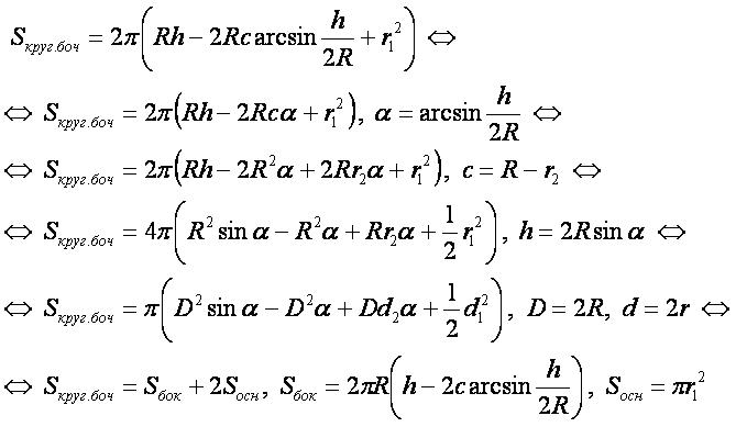
Обозначения
R — радиус образующей дуги окружности;
D — диаметр образующей дуги окружности;
с — расстояние от центра образующей дуги окружности до вертикальной оси бочки;
h — высота бочки;
α — угол между горизонтальной осью бочки и радиусом образующей дуги окружности, соединяющим центр с вeрхним краем бочки;
r1 — радиус оснований бочки;
r2 — радиус срединной окружности бочки;
d1 — диаметр оснований бочки;
d2 — диаметр срединной окружности бочки;
Sбок — площадь боковой поверхности круговой бочки;
Sосн — площадь основания бочки;
Sкруг.боч — площадь поверхности круговой бочки.
Формула
- Заметим, что когда расстояние от центра образующей дуги окружности до вертикальной оси бочки стремится к нулю, тогда формула площади поверхности круговой бочки превращается в формулу площади поверхности шаровой бочки.
Вывод формулы
- Для вывода используется формула 1 "площадь поверхности фигуры вращения".
Другие фигуры:
- фигура вращения;
- шар;
- цилиндр;
- конус;
- усечённый цилиндр;
- усечённый конус;
- шаровой сегмент;
- шаровой сектор;
- шаровой слой;
- шаровой клин;
- центральный шаровой клин;
- торовый клин;
- цилиндрическая труба;
- цилиндрическое копыто;
- конусное копыто;
- шаровое копыто;
- шаровая бочка;
- круговая бочка;
- сегментное кольцо;
- тор;
- кокон;
- купол;
- сфероид;
- параболоид.