Площадь поверхности шарового сектора
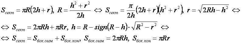
Площадь поверхности шарового сектора — это сумма боковых площадей шарового сегмента и конуса.
Обозначения
R — радиус шара и образующая конуса;
r — радиус основания шарового сегмента;
h — высота шарового сегмента;
Sбок.кон — площадь боковой поверхности конуса;
Sбок.сегм — площадь боковой поверхности шарового сегмента;
Sсект — площадь поверхности шарового сектора.
Формула
Вывод формулы
- Для вывода дважды используется формула 1 "площадь поверхности фигуры вращения".
Другие фигуры:
- фигура вращения;
- шар;
- цилиндр;
- конус;
- усечённый цилиндр;
- усечённый конус;
- шаровой сегмент;
- шаровой сектор;
- шаровой слой;
- шаровой клин;
- центральный шаровой клин;
- торовый клин;
- цилиндрическая труба;
- цилиндрическое копыто;
- конусное копыто;
- шаровое копыто;
- шаровая бочка;
- круговая бочка;
- сегментное кольцо;
- тор;
- кокон;
- купол;
- сфероид;
- параболоид.
Ссылки
- Бронштейн М.Н., Семендяев К.А., Справочник по математике. М., 1956, стр.177.