Площадь поверхности шаровой бочки
Площадь поверхности шаровой бочки — это сумма боковой площади бочки и площадей верхнего и нижнего оснований бочки.
Обозначения
R — радиус шара;
D — диаметр шара;
r — радиус оснований бочки;
d — диаметр оснований бочки;
h — высота бочки;
Sбок — площадь боковой поверхности шаровой бочки;
Sосн — площадь основания шаровой бочки;
Sбоч — площадь поверхности шаровой бочки.
Формула
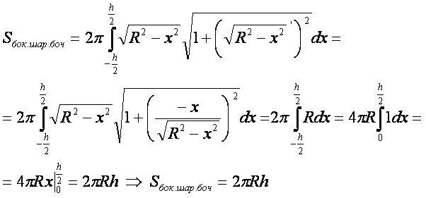
Вывод формулы
- Для вывода используется формула 1 "площадь поверхности фигуры вращения".
Другие фигуры:
- фигура вращения;
- шар;
- цилиндр;
- конус;
- усечённый цилиндр;
- усечённый конус;
- шаровой сегмент;
- шаровой сектор;
- шаровой слой;
- шаровой клин;
- центральный шаровой клин;
- торовый клин;
- цилиндрическая труба;
- цилиндрическое копыто;
- конусное копыто;
- шаровое копыто;
- шаровая бочка;
- круговая бочка;
- сегментное кольцо;
- тор;
- кокон;
- купол;
- сфероид;
- параболоид.
Ссылки
- Бронштейн М.Н., Семендяев К.А., Справочник по математике. М., 1956, стр.178.