Площадь поверхности усечённого конуса
Площадь поверхности усечённого конуса — это сумма площадей оснований и боковой поверхности усечённого конуса.
Рассмотрим прямые круговые усечённые конусы.
Обозначения
R — радиус большего основания (R-основания) усечённого конуса;
r — радиус меньшего основания (r-основания отсечённой части) усечённого конуса;
h — высота усечённого конуса;
l — образующая усечённого конуса;
SR осн — площадь R-основания усечённого конуса;
Sr осн — площадь r-основания усечённого конуса;
Sбок — площадь боковой поверхности усечённого конуса;
Sусеч.кон — площадь поверхности усечённого конуса.
Формула
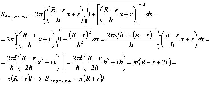
Вывод формулы
- Для вывода используется формула 1 "площадь поверхности фигуры вращения".
Другие фигуры:
- фигура вращения;
- шар;
- цилиндр;
- конус;
- усечённый цилиндр;
- усечённый конус;
- шаровой сегмент;
- шаровой сектор;
- шаровой слой;
- шаровой клин;
- центральный шаровой клин;
- торовый клин;
- цилиндрическая труба;
- цилиндрическое копыто;
- конусное копыто;
- шаровое копыто;
- шаровая бочка;
- круговая бочка;
- сегментное кольцо;
- тор;
- кокон;
- купол;
- сфероид;
- параболоид.
Ссылки
- Бронштейн М.Н., Семендяев К.А., Справочник по математике. М., 1956, стр.176.