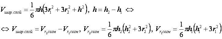
Объём шарового слоя
Объём шарового слоя — это разность объёмов шаровых сегментов с основаниями шарового слоя.
Под шаровым слоем будем подразумевать часть шара, ограниченную двумя параллельными плоскостями (кругами).
Обозначения
R — радиус шара;
r1 — радиус верхнего основания шарового слоя и меньшего шарового сегмента;
r2 — радиус нижнего основания шарового слоя и большего шарового сегмента;
h — высота шарового слоя;
h1 — высота меньшего шарового сегмента;
h2 — высота большего шарового сегмента;
Vr1сегм — объём меньшего шарового сегмента;
Vr2сегм — объём большего шарового сегмента;
Vшар.слой — объём шарового слоя.
Формула
- Заметим, что при высоте слоя равной диаметру шара, шаровой слой превращается в шар. Соответственно, формула объёма шарового слоя с высотой в диаметр шара превращается в формулу объёма шара.
- Заметим, что при равенстве радиусов оснований, шаровой слой превращается в шаровую бочку. Соответственно, формула объёма шарового слоя с равными радиусами оснований превращается в формулу объёма шаровой бочки.
Вывод формулы
Другие фигуры:
- фигура вращения;
- шар;
- цилиндр;
- конус;
- усечённый цилиндр;
- усечённый конус;
- шаровой сегмент;
- шаровой сектор;
- шаровой слой;
- шаровой клин;
- центральный шаровой клин;
- торовый клин;
- цилиндрическая труба;
- цилиндрическое копыто;
- конусное копыто;
- шаровое копыто;
- параболоидное копыто;
- шаровая бочка;
- круговая бочка;
- параболическая бочка;
- сегментное кольцо;
- тор;
- кокон;
- купол;
- сфероид;
- параболоид.
Ссылки
- Бронштейн М.Н., Семендяев К.А., Справочник по математике. М., 1956, стр.177.