Объём шарового сегмента
Объём шарового сегмента — это часть объёма шара, ограниченная сегментом сферы и основанием сегмента.
Обозначения
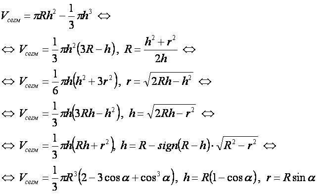
R — радиус шара;
r — радиус основания шарового сегмента;
h — высота шарового сегмента;
Vсегм — объём шарового сегмента.
Формула
- Заметим, что при высоте сегмента равной диаметру шара, шаровой сегмент превращается в шар. Соответственно, формула объёма шарового сегмента с высотой в диаметр шара превращается в формулу объёма шара.
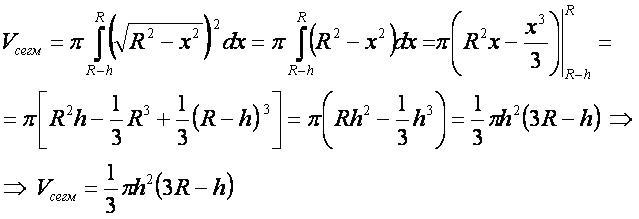
Вывод формулы
- Для вывода используется формула 1 "объём фигуры вращения".
Другие фигуры:
- фигура вращения;
- шар;
- цилиндр;
- конус;
- усечённый цилиндр;
- усечённый конус;
- шаровой сегмент;
- шаровой сектор;
- шаровой слой;
- шаровой клин;
- центральный шаровой клин;
- торовый клин;
- цилиндрическая труба;
- цилиндрическое копыто;
- конусное копыто;
- шаровое копыто;
- параболоидное копыто;
- шаровая бочка;
- круговая бочка;
- параболическая бочка;
- сегментное кольцо;
- тор;
- кокон;
- купол;
- сфероид;
- параболоид.
Ссылки
- Бронштейн М.Н., Семендяев К.А., Справочник по математике. М., 1956, стр.177.