Объём цилиндра
Объём цилиндра — это число, характеризующее цилиндр в единицах измерения объёма.
Рассмотрим прямые круговые цилиндры.
Содержание
Обозначения
R — радиус основания цилиндра;
D — диаметр основания цилиндра;
h — высота цилиндра;
Sосн — площадь основания цилиндра;
Vцил — объём цилиндра.
Формула
Вывод формулы:
1-ый способ
- Для вывода используется формула "объём фигуры вращения".
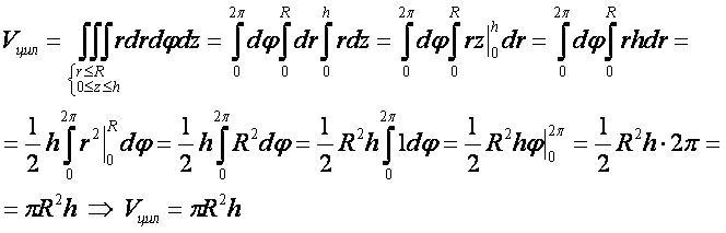
2-ой способ
- Для вывода используется формула "объём трёхмерной фигуры" в цилиндрических координатах.
Другие фигуры:
- фигура вращения;
- шар;
- цилиндр;
- конус;
- усечённый цилиндр;
- усечённый конус;
- шаровой сегмент;
- шаровой сектор;
- шаровой слой;
- шаровой клин;
- центральный шаровой клин;
- торовый клин;
- цилиндрическая труба;
- цилиндрическое копыто;
- конусное копыто;
- шаровое копыто;
- параболоидное копыто;
- шаровая бочка;
- круговая бочка;
- параболическая бочка;
- сегментное кольцо;
- тор;
- кокон;
- купол;
- сфероид;
- параболоид.
Ссылки
- Бронштейн М.Н., Семендяев К.А., Справочник по математике. М., 1956, стр.175.