Объём фигуры вращения
Объём фигуры вращения — это объём тела, ограниченного фигурой вращения.
Содержание
Формулы:
Формула 1
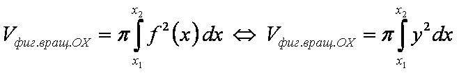
Объём тела, образованного вращением кривой y=f(x) вокруг оси OX:
Формула 2
Объём тела, образованного вращением кривой x=f(y) вокруг оси OY:
Формула 3
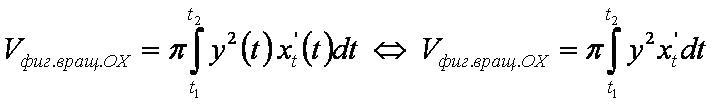
Объём тела, образованного вращением кривой y=y(t) заданной параметрически вокруг оси OX:
Формула 4
Объём тела, образованного вращением кривой x=x(t) заданной параметрически вокруг оси OY:
Формула 5
Объём тела, образованного вращением кривой r=r(φ) в полярных координатах вокруг оси OX:
Другие фигуры:
- фигура вращения;
- шар;
- цилиндр;
- конус;
- усечённый цилиндр;
- усечённый конус;
- шаровой сегмент;
- шаровой сектор;
- шаровой слой;
- шаровой клин;
- центральный шаровой клин;
- торовый клин;
- цилиндрическая труба;
- цилиндрическое копыто;
- конусное копыто;
- шаровое копыто;
- параболоидное копыто;
- шаровая бочка;
- круговая бочка;
- параболическая бочка;
- сегментное кольцо;
- тор;
- кокон;
- купол;
- сфероид;
- параболоид.
Другие формулы:
Виды формул:
- неравенства;
- операции с комплексными числами;
- операции с векторами;
- операции с матрицами;
- уравнения;
- дифференциальные уравнения;
- системы дифференциальных уравнений;
- функции;
- расстояния;
- проекции;
- точки;
- уравнения прямой;
- уравнения плоскости;
- углы;
- длины линий;
- площади фигур;
- площади поверхностей;
- объёмы.
Ссылки
- Бронштейн М.Н., Семендяев К.А., Справочник по математике. М., 1956, стр.395.