Объём параболоидного копыта
Объём параболоидного копыта — это объём меньшей части параболоида вращения отсечённой горизонтальной и вертикальной плоскостями.
Параболоидное копыто — это меньшая часть параболоида вращения, отсеченная горизонтальной и вертикальной плоскостями. Параболоидное копыто можно называть отрезком параболоида.
Обозначения
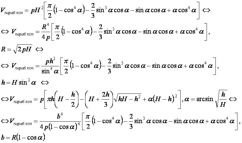
H — высота параболоида вращения;
R — радиус основания;
h — высота параболоидного копыта;
b — высота сегмента основания;
p — фокальный параметр;
α — угол между радиусом основания, соединяющим центр основания параболоида и край линии сечения, и горизонтальной осью (проходящей через центры основания и линии сечения);
2p(H-z)=x2+у2 — уравнение параболоида вращения;
Vпараб.коп — объём параболоидного копыта c высотой h.
Формула
- Заметим, что при α=π/2 формула объёма параболоидного копыта превращается в соответствующую формулу половины объёма параболоида вращения.
Вывод формулы
- Для вывода используется формула "объём трёхмерной фигуры" в прямоугольных координатах.
Другие фигуры:
- фигура вращения;
- шар;
- цилиндр;
- конус;
- усечённый цилиндр;
- усечённый конус;
- шаровой сегмент;
- шаровой сектор;
- шаровой слой;
- шаровой клин;
- центральный шаровой клин;
- торовый клин;
- цилиндрическая труба;
- цилиндрическое копыто;
- конусное копыто;
- шаровое копыто;
- параболоидное копыто;
- шаровая бочка;
- круговая бочка;
- параболическая бочка;
- сегментное кольцо;
- тор;
- кокон;
- купол;
- сфероид;
- параболоид.