Неравенство Коши-Буняковского
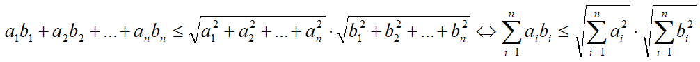
Неравенство Коши-Буняковского – сумма попарных произведений n чисел с другими n числами не больше произведения корней из сумм квадратов этих чисел.
Скалярное произведение векторов не больше произведения длин этих векторов.
Содержание
Обозначения
n – число чисел;
ai – i-ое число;
bi – i-ое число.
Формула неравенства
- Если множества чисел {ai} и {bi} считать векторами n-мерного пространства, то неравенство Коши-Буняковского означает, что скалярное произведение векторов не более произведения их длин (модулей, норм).
Доказательство
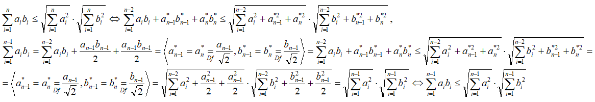
1.Докажем неравенство при k=2.
т.е. неравенство верно при k=2.
2.Доказательство индукцией вверх. Предполагаем, что неравенство верно для k=n и k=2, и доказываем неравенство для k=2n.
т.е. неравенство верно при k=2n.
3.Доказательство индукцией вниз. Предполагаем, что неравенство верно для k=n, и доказываем неравенство для k=n-1.
т.е. неравенство верно при k=n-1, ч.т.д.
Следствие
Другие неравенства:
- неравенство n-степени числа;
- неравенство r-степени числа;
- неравенство Йенсена;
- неравенство Юнга;
- неравенство Коши;
- неравенство средних взвешенных;
- неравенство p-ичных средних;
- обобщённое неравенство средних;
- неравенство взвешенных p-ичных средних;
- неравенство Коши-Буняковского;
- интегральное неравенство Коши-Буняковского;
- неравенство Минковского;
- обобщённое неравенство Минковского;
- интегральное неравенство Минковского;
- неравенство Гёльдера;
- обобщённое неравенство Гёльдера;
- интегральное неравенство Гёльдера;
- неравенство Фань Цзы;
- неравенство Маркова;
- неравенство Чебышёва.
Ссылки
- Корн Г., Корн Т. Справочник по математике для научных работников и инженеров. М.: Наука, 1970.




