Скалярное произведение
Скалярное произведение векторов – это число, равное сумме произведений координат двух векторов-сомножителей.
Содержание
Обозначения
Формула
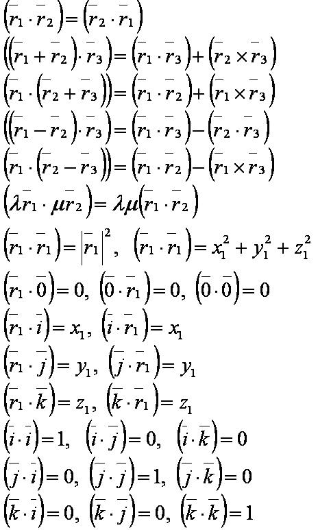
Свойства
- Заметим, что в формулах 0<φr1r2<π.
Другие операции:
- нахождение длины вектора;
- умножение вектора на число;
- возведение в квадрат координат вектора;
- извлечение корня из координат вектора;
- сложение векторов;
- вычитание векторов;
- умножение координат векторов;
- деление координат векторов;
- скалярное произведение;
- векторное произведение;
- смешанное произведение;
- двойное векторное произведение;
- нахождение угла между векторами;
- ортогонализация векторов.
Ссылки
- Корн Г., Корн Т. Справочник по математике для научных работников и инженеров. М.: Наука, 1970.