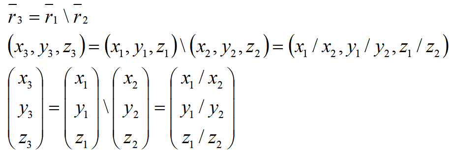
Деление координат векторов
Деление координат векторов — операция деления координат векторов, получающая вектор-частных от деления соответствующих координат вектора-делимых на координаты вектора-делителей.
Обозначения
— вектор-частных от делений координат.
Формула
Другие операции:
- нахождение длины вектора;
- умножение вектора на число;
- возведение в квадрат координат вектора;
- извлечение корня из координат вектора;
- сложение векторов;
- вычитание векторов;
- умножение координат векторов;
- деление координат векторов;
- скалярное произведение;
- векторное произведение;
- смешанное произведение;
- двойное векторное произведение;
- нахождение угла между векторами;
- ортогонализация векторов.
