Обобщённое неравенство средних
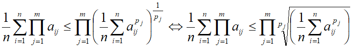
Обобщённое неравенство средних – средняя произведений i-ых положительных чисел из m наборов не больше произведения m корней pj-степени из pj-ичных средних.
Обозначения
n – число чисел в наборе;
m – число наборов;
pj – степень – число больше 1;
1/p1+1/p2+...+1/pm=1 – сумма обратных степеней равная 1;
aij – i-ое положительное число в j-ом наборе.
Формула неравенства
Другие неравенства:
- неравенство n-степени числа;
- неравенство r-степени числа;
- неравенство Йенсена;
- неравенство Юнга;
- неравенство Коши;
- неравенство средних взвешенных;
- неравенство p-ичных средних;
- обобщённое неравенство средних;
- неравенство взвешенных p-ичных средних;
- неравенство Коши-Буняковского;
- интегральное неравенство Коши-Буняковского;
- неравенство Минковского;
- обобщённое неравенство Минковского;
- интегральное неравенство Минковского;
- неравенство Гёльдера;
- обобщённое неравенство Гёльдера;
- интегральное неравенство Гёльдера;
- неравенство Фань Цзы;
- неравенство Маркова;
- неравенство Чебышёва.
Ссылки
- Беккенбах Э., Беллман Р. Неравенства. М.: КомКнига, под ред. В.И.Левина, Изд.2, 2007, стр.36.
