Интегральное неравенство Гёльдера
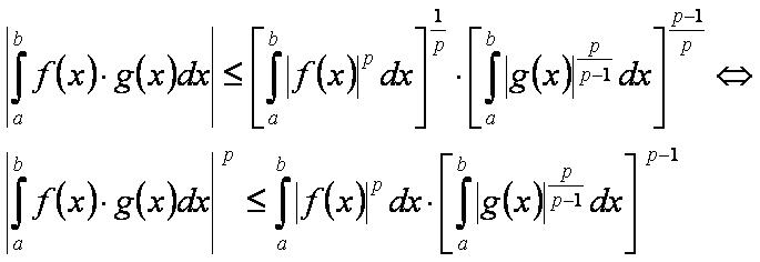
Модуль определённого интеграла произведения двух функций не превышает произведения 1/p-степени определённого интеграла p-степени модуля первой функции и (p-1)/p-степени определённого интеграла p/(1-p)-степени модуля второй функции.
Формула неравенства
- p – число больше 1.
- Заметим, что при p=2 получаем интегральное неравенство Коши-Буняковского.
Другие неравенства:
- неравенство n-степени числа;
- неравенство r-степени числа;
- неравенство Йенсена;
- неравенство Юнга;
- неравенство Коши;
- неравенство средних взвешенных;
- неравенство p-ичных средних;
- обобщённое неравенство средних;
- неравенство взвешенных p-ичных средних;
- неравенство Коши-Буняковского;
- интегральное неравенство Коши-Буняковского;
- неравенство Минковского;
- обобщённое неравенство Минковского;
- интегральное неравенство Минковского;
- неравенство Гёльдера;
- обобщённое неравенство Гёльдера;
- интегральное неравенство Гёльдера;
- неравенство Фань Цзы;
- неравенство Маркова;
- неравенство Чебышёва.
Ссылки
- Корн Г., Корн Т. Справочник по математике для научных работников и инженеров. М.: Наука, 1970.