Медиана интервального ряда

Материал из Мегапедии
Перейти к: навигация, поиск

Медиана — это числовая характеристика случайной величины, равная значению (случайной величины) для которого вероятность меньших значений равна вероятности больших значений.

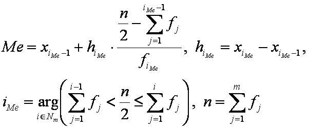
Обозначения:

n — объём совокупности;

m — число интервалов;

xi-1 — нижняя граница i-ого интервала;

xi — верхняя граница i-ого интервала;

fi — частота i-ого интервала;

hi — длина i-ого интервала;

iMe — индекс медианного интервала;

Мемедиана — это середина совокупности, граница между первой и второй частями.

Формула:

МЕД01.JPG

Другие формулы:

Ссылки