Вероятность

Материал из Мегапедии
Перейти к: навигация, поиск

Вероятность — это количественная мера возможности появления события.

Вероятность

Определения

Случай называется благоприятствующим данному событию, если появление его влечёт за собой появление этого события.

Вероятность события — это число, равное отношению числа благоприятствующих случаев к общему числу равновозможных случаев.

Формулы:

ВЕР01.JPG, где

P(A) — вероятность события;

m — число благоприятствующих событию A случаев;

n — общее число равновозможных случаев.

Для вероятности верно неравенство: ВЕР02.JPG

События называются несовместными, если они не могут наблюдаться в одном и том же испытании одновременно.

Суммой нескольких событий называется событие, состоящее в появлении хотя бы одного из этих событий.

Формула вероятности суммы несовместных событий

Вероятность суммы несовместных событий равна сумме вероятностей этих событий:

ВЕР03.JPG

Если в единичном опыте обязательно должно произойти одно из событий, то такая группа событий называется полной группой событий. Сумма вероятностей несовместных событий, образующих полную группу, равна единице:

ВЕР04.JPG

События называются независимыми, если появление одного из событий не меняет вероятности появления другого.

Произведением нескольких событий называется событие, состоящее в одновременном появлении всех этих событий.

Формула вероятности произведения независимых событий

Вероятность произведения независимых событий равна произведению вероятностей каждого события: ВЕР05.JPG

Для зависимых событий вероятности появления одних событий зависят от того, произошло другое событие или нет.

Вероятность события A, вычисленная при условии, что имело место другое событие B, называется условной вероятностью события A и обозначается P(A/B).

Вероятность события A1, вычисленная при условии, что имели место события A2,A3,...,An, называется условной вероятностью события A1 и обозначается P(A1/ A2,A3,...,An).

Формула вероятности произведения двух событий

Вероятность произведения двух событий равна произведению вероятности одного из них на условную вероятность другого, вычисленную при условии, что первое событие имело место: ВЕР06.JPG

Формула вероятности суммы двух событий

Сумма вероятностей двух событий равна сумме вероятностей этих событий за вычетом вероятности произведения этих событий: ВЕР07.JPG

Формула условной вероятности

Условная вероятность одного события (при условии, что другое событие имело место) равна отношению вероятности произведения двух событий к вероятности другого события: ВЕР08.JPG

Формула полной вероятности

ВЕР09.JPG

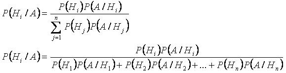
Формула Байеса

ВЕР10.JPG

  • Формула Байеса позволяет «переставить причину и следствие»: по известному факту события вычислить вероятность того, что оно было вызвано данной причиной. События, отражающие действие «причин», в данном случае называют гипотезами, так как они — предполагаемые события, повлёкшие данное. Безусловную вероятность справедливости гипотезы называют априорной (насколько вероятна причина вообще), а условную — с учётом факта произошедшего события — апостериорной (насколько вероятна причина оказалась с учётом данных о событии)(формулировка из Википедии).

Другие разделы:

Ссылки

  • Справочник по математике для экономистов. Под ред. проф. В.И.Ермакова. М.: Высшая школа, 1987.
  • Участник:Logic-samara