Матричная игра

Материал из Мегапедии
Перейти к: навигация, поиск
Математическая модель МИ2

Матричная игра — это задача теории игр — парная игра с нулевой суммой, в которой каждый игрок имеет конечное число чистых стратегий.

Матричные игры

Определения

Игра называется парной, если в ней сталкиваются интересы двух противников.

Игра называется с нулевой суммой, если один игрок выигрывает столько, сколько второй проигрывает в той же партии.

Каждая фиксированная стратегия, которую может выбрать игрок, называется его чистой стратегией.

Смешанной стратегией игрока называется набор чистых стратегий, задаваемый вероятностями (относительными частотами) выбора соответствующих чистых стратегий.

Постановка задачи

Введём обозначения:

m — число стратегий первого игрока;

n — число стратегий второго игрока.

aij — элемент платёжной матрицы A – выигрыш первого игрока (соответственно, проигрыш второго игрока), если первый игрок выберет i-ую стратегию, а второй игрок – j-ую стратегию;

pi — вероятность (относительная частота) выбора первым игроком i-ой стратегии;

qj — вероятность (относительная частота) выбора вторым игроком – j-ой стратегии;

P=(p1, p2, …, pm) — смешанная стратегия первого игрока;

Q=(q1, q2, …, qn) — смешанная стратегия второго игрока;

V(P,v)=v — выигрыш первого игрока;

U(Q,u)=u — проигрыш второго игрока.

Задача первого игрока

Задача первого игрока выбрать смешанную стратегию максимизирующую выигрыш.

ИГР01.JPG

Задача второго игрока

Задача второго игрока выбрать смешанную стратегию минимизирующую проигрыш.

ИГР02.JPG

Эквивалентная задача

Введём обозначения:

D(Y)=1/v — обратная величина выигрыша первого игрока;

L(X)=1/u — обратная величина проигрыша второго игрока.

yi=pi/v — относительная величина выбора первым игроком i-ой стратегии;

xj=qj/u — относительная величина выбора вторым игроком j-ой стратегии.

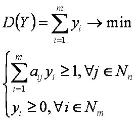
Эквивалентная задача первого игрока

Задача первого игрока минимизировать обратную величину своего выигрыша.

ИГР11.JPG

Эквивалентная задача второго игрока

Задача второго игрока максимизировать обратную величину своего проигрыша.

ИГР12.JPG

Эквивалентные задачи являются парой двойственных задач линейного программирования.

Другие разделы:

Ссылки

  • Справочник по математике для экономистов. Под ред. проф. В.И.Ермакова. М.: Высшая школа, 1987, стр.245.
  • Участник:Logic-samara