Коэффициент асимметрии интервального ряда

Материал из Мегапедии
Перейти к: навигация, поиск

Коэффициент асимметрии — это числовая характеристика случайной величины, равная отношению центрального момента третьего порядка к кубу среднеквадратического отклонения.

Обозначения:

n — объём совокупности;

m — число интервалов;

xi-1 — нижняя граница i-ого интервала;

xi — верхняя граница i-ого интервала;

xi — середина i-ого интервала;

fi — частота i-ого интервала;

μ3центральный момент третьего порядка;

σсреднеквадратическое отклонение;

Asкоэффициент асимметрии.

Формула:

АСИ01.JPG

где

АСИ02.JPG

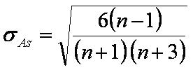
Ошибка коэффициента асимметрии.

АСИ03.JPG

Другие формулы:

Ссылки