Коэффициент эксцесса интервального ряда

Материал из Мегапедии
Перейти к: навигация, поиск

Коэффициент эксцесса — это числовая характеристика случайной величины, равная разности отношения центрального момента четвёртого порядка к четвёртой степени среднеквадратического отклонения и числа три.

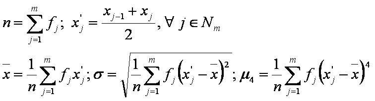
Обозначения:

n — объём совокупности;

m — число интервалов;

xi-1 — нижняя граница i-ого интервала;

xi — верхняя граница i-ого интервала;

xi — середина i-ого интервала;

fi — частота i-ого интервала;

μ4центральный момент четвёртого порядка;

σсреднеквадратическое отклонение;

Ekкоэффициент эксцесса.

Формула:

ЭКС01.JPG

где

ЭКС02.JPG

Ошибка коэффициента эксцесса.

ЭКС03.JPG

Другие формулы:

Ссылки