Среднее линейное отклонение интервального ряда

Материал из Мегапедии
Перейти к: навигация, поиск

Среднее линейное отклонение — это числовая характеристика случайной величины, равная средней модулей отклонений этой величины от средней.

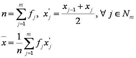
Обозначения:

n — объём совокупности;

m — число интервалов;

xi-1 — нижняя граница i-ого интервала;

xi — верхняя граница i-ого интервала;

xi — середина i-ого интервала;

fi — частота i-ого интервала;

СРЕ00.JPGсредняя — математическое ожидание;

dxсреднее линейное отклонение.

Формулы:

СЛО01.JPG

где

СЛО02.JPG

Другие формулы:

Ссылки