Тригонометрические функции комплексной переменной
Тригонометрические функции комплексных чисел — это тригонометрические функции, у которых аргументы комплексные числа.
Обозначения
x — действительная часть (абсцисса) переменной;
y — мнимая часть (ордината) переменной;
x+iy — комплексная переменная;
x-iy — сопряжённая комплексная переменная;
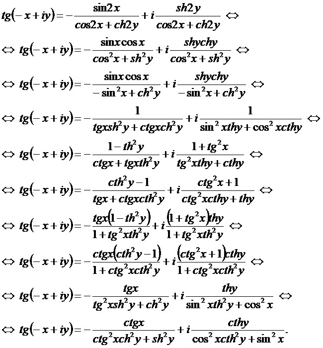
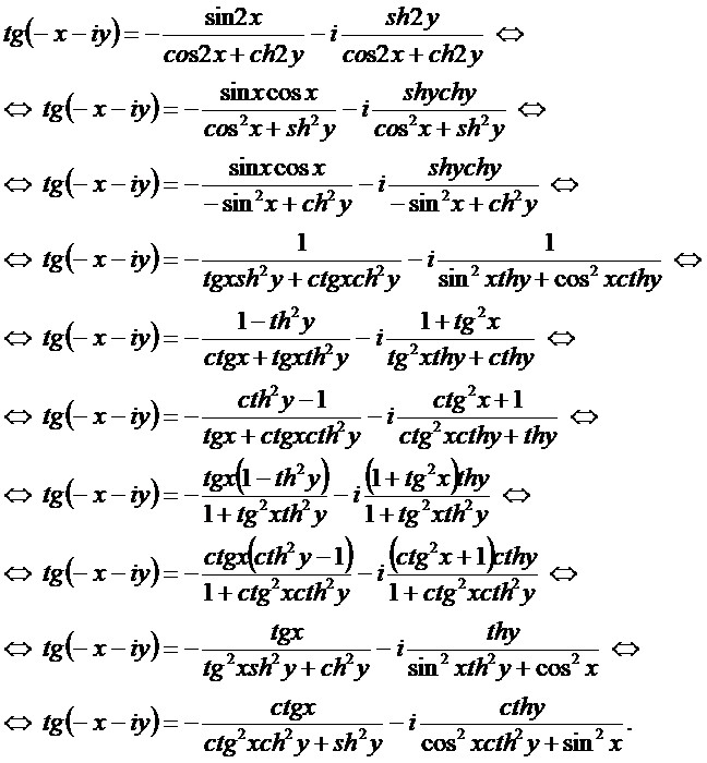
-x-iy — противоположная комплексная переменная;
-x+iy — противоположная сопряжённой (сопряжённая противоположной) комплексная переменная;
iy — мнимая комплексная переменная;
-iy — сопряжённая (противоположная) мнимая комплексная переменная.
Формулы:
sin:
cos:
tg:
Другие формулы:
- тригонометрические функции углов;
- сумма тригонометрических функций;
- разность тригонометрических функций;
- произведение тригонометрических функций;
- тригонометрические функции суммы углов;
- тригонометрические функции разности углов;
- тригонометрические формулы приведения;
- тригонометрические функции кратных углов;
- тригонометрические функции двойного угла;
- тригонометрические функции половинного угла;
- тригонометрические функции угла, полученного многократным делением пи на два;
- выражение тригонометрических функций через другую;
- выражение тригонометрических функций через гиперболические;
- тригонометрические функции комплексной переменной;
- производные тригонометрических функций;
- дифференциалы тригонометрических функций;
- интегралы тригонометрических функций;
- графики тригонометрических функций.