Сумма тригонометрических функций
Сумма тригонометрических функций — это сумма, в которой слагаемые являются тригонометрическими функциями.
Содержание
Формулы:
sinα+sinβ:
sinα+cosβ:
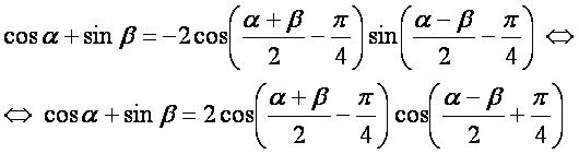
cosα+sinβ:
cosα+cosβ:
tgα+tgβ:
tgα+ctgβ:
ctgα+tgβ:
ctgα+ctgβ:
Другие формулы:
- тригонометрические функции углов;
- сумма тригонометрических функций;
- разность тригонометрических функций;
- произведение тригонометрических функций;
- тригонометрические функции суммы углов;
- тригонометрические функции разности углов;
- тригонометрические формулы приведения;
- тригонометрические функции кратных углов;
- тригонометрические функции двойного угла;
- тригонометрические функции половинного угла;
- тригонометрические функции угла, полученного многократным делением пи на два;
- выражение тригонометрических функций через другую;
- выражение тригонометрических функций через гиперболические;
- тригонометрические функции комплексной переменной;
- производные тригонометрических функций;
- дифференциалы тригонометрических функций;
- интегралы тригонометрических функций;
- графики тригонометрических функций.
Ссылки
- Бронштейн М. Н., Семендяев К. А., Справочник по математике. М., 1956, стр.183.