Произведение тригонометрических функций
Произведение тригонометрических функций — это произведение, в котором сомножители являются тригонометрическими функциями.
Формулы:
sinα:
sinα·sinβ:
sinα·cosβ:
sinα·sinβ·sinγ:
sinα·sinβ·cosγ:
sinα·cosβ·sinγ:
sinα·cosβ·cosγ:
cosα:
cosα·sinβ:
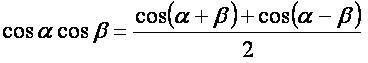
cosα·cosβ:
cosα·sinβ·sinγ:
cosα·sinβ·cosγ:
cosα·cosβ·sinγ:
cosα·cosβ·cosγ:
tgα:
tgα·tgβ:
tgα·ctgβ:
ctgα:
ctgα·tgβ:
ctgα·ctgβ:
Другие формулы:
- тригонометрические функции углов;
- сумма тригонометрических функций;
- разность тригонометрических функций;
- произведение тригонометрических функций;
- тригонометрические функции суммы углов;
- тригонометрические функции разности углов;
- тригонометрические формулы приведения;
- тригонометрические функции кратных углов;
- тригонометрические функции двойного угла;
- тригонометрические функции половинного угла;
- тригонометрические функции угла, полученного многократным делением пи на два;
- выражение тригонометрических функций через другую;
- выражение тригонометрических функций через гиперболические;
- тригонометрические функции комплексной переменной;
- производные тригонометрических функций;
- дифференциалы тригонометрических функций;
- интегралы тригонометрических функций;
- графики тригонометрических функций.
Ссылки
- Бронштейн М. Н., Семендяев К. А., Справочник по математике. М., 1956, стр.184.