Сумма комплексно сопряжённых чисел
Сумма комплексно сопряжённых чисел — это действительное число число с удвоенной действительной частью одного из слагаемых.
Содержание
Обозначения
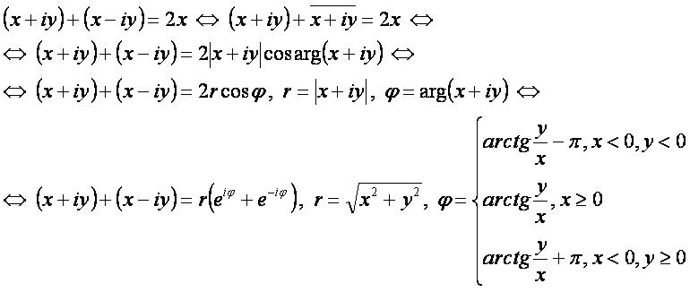
x — действительная часть (абсцисса) комплексно сопряжённых чисел;
y — мнимая часть (ордината) первого числа;
-y — мнимая часть (ордината) второго числа;
r — модуль комплексно сопряжённых чисел;
φ — аргумент первого числа;
-φ — аргумент второго числа;
x+iy — первое комплексно сопряжённое число;
x-iy — второе комплексно сопряжённое число.
Формулы:
Другие операции:
- сложение чисел;
- вычитание чисел;
- умножение чисел;
- деление чисел;
- обращение числа;
- возведение в степень;
- извлечение квадратного корня;
- извлечение кубического корня;
- извлечение корня n-ой степени;
- логарифмирование числа;
- возведение в комплексную степень;
- тригонометрические функции комплексных чисел;
- гиперболические функции комплексных чисел;
- взятие комплексно сопряжённого числа;