Извлечение кубического корня из комплексного числа
Извлечение кубического корня из комплексного числа – это нахождение таких трёх комплексных чисел (корней), что их куб равен заданному комплексному числу.
Содержание
Обозначения
x — действительная часть (абсцисса) числа;
y — мнимая часть (ордината) числа;
x1,2,3 — комплексные числа — кубические корни;
r — модуль комплексного числа;
φ — аргумент комплексного числа;
x+iy — комплексное число.
Формулы:
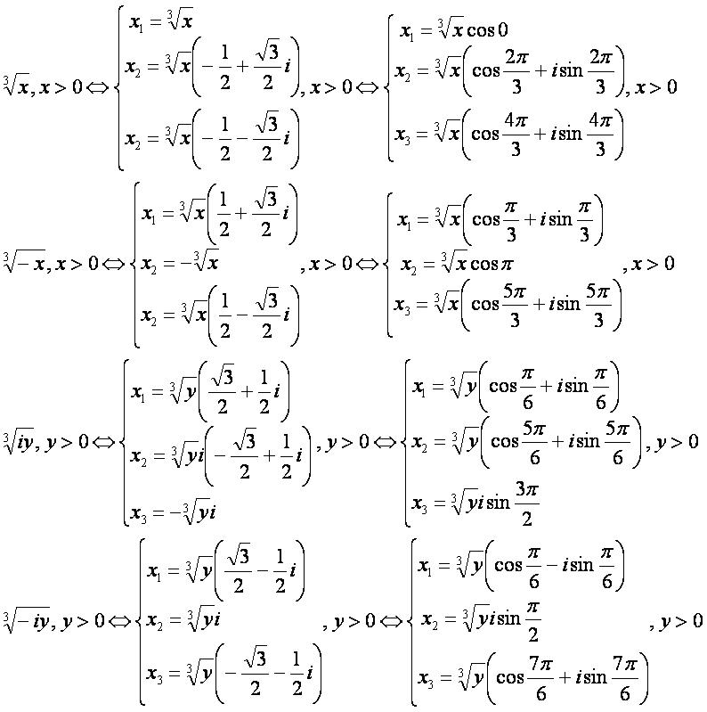
Формулы кубических корней:
Примеры:
Другие операции:
- сложение чисел;
- вычитание чисел;
- умножение чисел;
- деление чисел;
- обращение числа;
- возведение в степень;
- извлечение квадратного корня;
- извлечение кубического корня;
- извлечение корня n-ой степени;
- логарифмирование числа;
- возведение в комплексную степень;
- тригонометрические функции комплексных чисел;
- гиперболические функции комплексных чисел;
- взятие комплексно сопряжённого числа;