Извлечение корня n-ой степени из комплексного числа
Извлечение корня n-ой степени из комплексного числа – это нахождение таких n комплексных чисел (корней), что их n-ая степень равна заданному числу.
Содержание
Обозначения
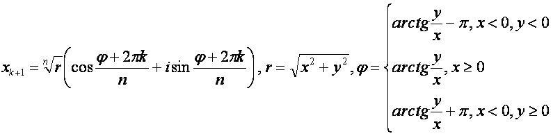
x — действительная часть (абсцисса) числа;
y — мнимая часть (ордината) числа;
r — модуль комплексного числа;
φ — аргумент комплексного числа;
n — степень для извлечения корней из числа;
x+iy — комплексное число;
xk — комплексное число — k-ый корень n-ой степени, 1≤k≤n.
Формулы:
Формула (k+1)-ого корня n-ой степени:
Примеры:
Другие операции:
- сложение чисел;
- вычитание чисел;
- умножение чисел;
- деление чисел;
- обращение числа;
- возведение в степень;
- извлечение квадратного корня;
- извлечение кубического корня;
- извлечение корня n-ой степени;
- логарифмирование числа;
- возведение в комплексную степень;
- тригонометрические функции комплексных чисел;
- гиперболические функции комплексных чисел;
- взятие комплексно сопряжённого числа;
Ссылки
- Корн Г., Корн Т. Справочник по математике для научных работников и инженеров. М.: Наука, 1970, стр.36.