Метод преобразований Лапласа для решения дифференциального уравнения
Метод преобразований Лапласа — это способ решения дифференциальных уравнений с помощью преобразований Лапласа.
Содержание
Описание метода
Суть метода преобразований Лапласа состоит в следующем:
1) перевод с помощью преобразований Лапласа дифференциального уравнения в пространство изображений в алгебраическое уравнение;
2) решение алгебраического уравнения и разложение решения на простые выражения (для дробно-рациональных выражений - методом неопределённых коэффициентов);
3) обратный перевод с помощью обратных преобразований Лапласа решения алгебраического уравнения в решение дифференциального уравнения.
- Аналогичный метод можно использовать для решения систем дифференциальных уравнений.
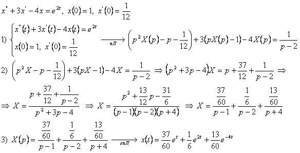
Линейные дифференциальные уравнения 2-ого порядка:
Пример 1
Пример 2
Пример 3
Другие дифференциальные уравнения:
- с разделяющимися переменными;
- однородное;
- линейное;
- уравнение Бернулли;
- уравнение в полных дифференциалах;
- уравнение Клеро;
- уравнение второго порядка, не содержащее y и y’;
- уравнение второго порядка, не содержащее y;
- уравнение второго порядка, не содержащее x;
- однородное уравнение второго порядка с постоянными коэффициентами;
- неоднородное уравнение второго порядка с постоянными коэффициентами;
- уравнение n-ого порядка, содержащее только переменную x;
- однородное уравнение n-ого порядка с постоянными коэффициентами;
- неоднородное уравнение n-ого порядка с постоянными коэффициентами;
- общее дифференциальное уравнение.
Ссылки
- Корн Г., Корн Т. Справочник по математике для научных работников и инженеров. М.: Наука, 1970, стр. 272.