Преобразование Лапласа

Материал из Мегапедии
Перейти к: навигация, поиск

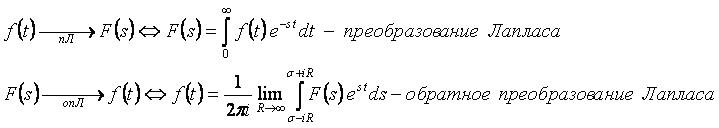
Преобразование Лапласа — это операция перевода однозначной действительной функции (оригинала) f(t) в единственную комплексную функцию (изображение) F(s).

Формулы:

ПЛА01.JPG

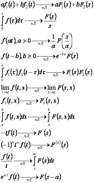
Свойства:

ПЛА04.JPG

ПЛА05.JPG

ПЛА06.JPG

Примеры:

ПЛА11.JPG

ПЛА12.JPG

Другие преобразования:

Ссылки

  • Корн Г., Корн Т. Справочник по математике для научных работников и инженеров. М.: Наука, 1970, стр.227.