Синус-преобразование Фурье

Материал из Мегапедии
Перейти к: навигация, поиск

Синус-преобразование Фурье — это операция перевода одной функции f(t) в другую Cs(ω).

Формулы:

СПФ01.JPG

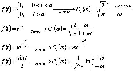
Примеры:

СПФ11.JPG

Другие преобразования:

Ссылки

  • Корн Г., Корн Т. Справочник по математике для научных работников и инженеров. М.: Наука, 1970.