Дифференциальное уравнение второго порядка, не содержащее функцию
Дифференциальные уравнения второго порядка, не содержащие функцию, — это такие, в которых есть первая и вторая производная и нет функции.
Будем рассматривать дифференциальные уравнения, разрешённые относительно второй производной.
Содержание
Обозначения
x – переменная – аргумент функции;
y – переменная – функция;
y’ – производная функции;
y’’ – вторая производная функции;
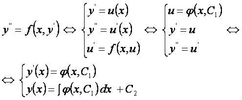
y’’=f(x,y’) – общий вид дифференциального уравнения второго порядка, не содержащего функцию и разрешённого относительно второй производной.
Дифференциальное уравнение
Общее решение
Другие дифференциальные уравнения:
- с разделяющимися переменными;
- однородное;
- линейное;
- уравнение Бернулли;
- уравнение в полных дифференциалах;
- уравнение Клеро;
- уравнение второго порядка, не содержащее y и y’;
- уравнение второго порядка, не содержащее y;
- уравнение второго порядка, не содержащее x;
- однородное уравнение второго порядка с постоянными коэффициентами;
- неоднородное уравнение второго порядка с постоянными коэффициентами;
- уравнение n-ого порядка, содержащее только переменную x;
- однородное уравнение n-ого порядка с постоянными коэффициентами;
- неоднородное уравнение n-ого порядка с постоянными коэффициентами;
- общее дифференциальное уравнение.
Ссылки
- Бермант А.Ф., Араманович И.Г. Краткий курс математического анализа для втузов. М. Наука, 1973, стр.553.