Разложение правильной рациональной дроби
Разложение правильной рациональной дроби − это представление в виде простейших рациональных дробей или в виде дробей удобных для интегрирования.
Содержание
Обозначения
Введём обозначения:
f(x) — дробно-рациональная функция;
fправ(x) — правильная рациональная дробь;
Pn-1(x) — многочлен степени n-1;
Qn(x) — многочлен степени n;
x2+px+q — квадратный трёхчлен;
x-xj — двучлен;
n — степень знаменателя;
n0 — степень x;
n1 — степень x-x1;
n2 — степень x-x2;
n3 — степень x-x3;
n4 — степень x-x4;
m1 — степень 1-го квадратного трёхчлена;
m2 — степень 2-го квадратного трёхчлена;
aj, pj, qj, p, q — коэффициенты.
Разложение на дроби с двучленами в знаменателе:
n=2
n0=2*
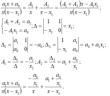
n0=1, n1=1*
n1=2*
n1=1, n2=1*
n=3
n0=3*
n0=2, n1=1*
n0=1, n1=2*
n0=1, n1=1, n2=1*
n1=3*
n1=2, n2=1*
n1=1, n2=1, n3=1*
n=4
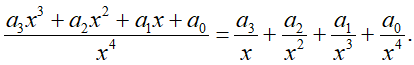
n0=4*
n0=3, n1=1*
n0=2, n1=2*
n0=2, n1=1, n2=1*
n0=1, n1=3*
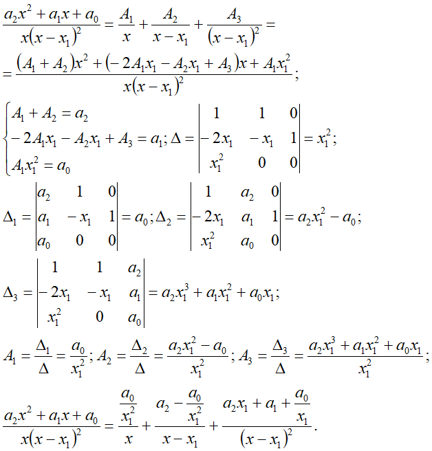
n0=1, n1=2, n2=1*
n0=1, n1=1, n2=1, n3=1*
n1=4*
n1=3, n2=1*
n1=2, n2=2*
n1=2, n2=1, n3=1*
n1=1, n2=1, n3=1, n4=1*
Разложение на дроби с трёхчленами в знаменателе:
n=2
m1=1*
n=3
m1=1, n0=1
m1=1, n1=1
n=4
m1=2
m1=1, m2=1
m1=1, n0=2
m1=1, n0=1, n1=1
m1=1, n1=2
m1=1, n1=1, n2=1
Примечание
- * − разложение удобное для интегрирования































