Распределение Пуассона — различия между версиями
(начало) |
|||
| Строка 15: | Строка 15: | ||
'''D(X)''' — [[Дисперсия дискретной случайной величины|дисперсия]]; | '''D(X)''' — [[Дисперсия дискретной случайной величины|дисперсия]]; | ||
| − | '''σ(X)''' — [[Среднеквадратическое отклонение дискретной случайной величины|среднеквадратическое отклонение]]. | + | '''σ(X)''' — [[Среднеквадратическое отклонение дискретной случайной величины|среднеквадратическое отклонение]]; |
| + | |||
| + | '''Me(X)''' — [[Медиана непрерывной случайной величины|медиана]]; | ||
| + | |||
| + | '''Mo(X)''' — [[Мода непрерывной случайной величины|мода]]; | ||
| + | |||
| + | '''As(X)''' — [[Коэффициент асимметрии непрерывной случайной величины|коэффициент асимметрии]]; | ||
| + | |||
| + | '''Ek(X)''' — [[Коэффициент эксцесса непрерывной случайной величины|коэффициент эксцесса]]. | ||
== Функции распределения: == | == Функции распределения: == | ||
=== Дифференциальная функция === | === Дифференциальная функция === | ||
[[файл:ПУАС01.JPG]] | [[файл:ПУАС01.JPG]] | ||
| + | [[файл:ПУАС01.png]] | ||
=== Интегральная функция === | === Интегральная функция === | ||
[[файл:ПУАС02.JPG]] | [[файл:ПУАС02.JPG]] | ||
| + | [[файл:ПУАС02.png]] | ||
== Формулы: == | == Формулы: == | ||
[[файл:ПУАС10.JPG]] | [[файл:ПУАС10.JPG]] | ||
| + | [[файл:ПУАС10.png]] | ||
| + | [[файл:ПУАС11.png]] | ||
== Вывод формул: == | == Вывод формул: == | ||
=== Математическое ожидание === | === Математическое ожидание === | ||
Версия 06:44, 3 апреля 2023
Распределение Пуассона — это распределение дискретной случайной величины, равной числу независимых событий, происходящих с фиксированной интенсивностью λ.
В функциях распределения Пуассона есть экспонента e-λ.
Содержание
Обозначения
X — случайная величина;
λ — параметр распределения — интенсивность наступления событий;
fX(x) — дифференциальная функция распределения — функция плотности вероятности;
FX(x) — интегральная функция распределения — функция вероятности;
M(X) — средняя — математическое ожидание;
D(X) — дисперсия;
σ(X) — среднеквадратическое отклонение;
Me(X) — медиана;
Mo(X) — мода;
As(X) — коэффициент асимметрии;
Ek(X) — коэффициент эксцесса.
Функции распределения:
Дифференциальная функция
Интегральная функция
Формулы:
Вывод формул:
Математическое ожидание
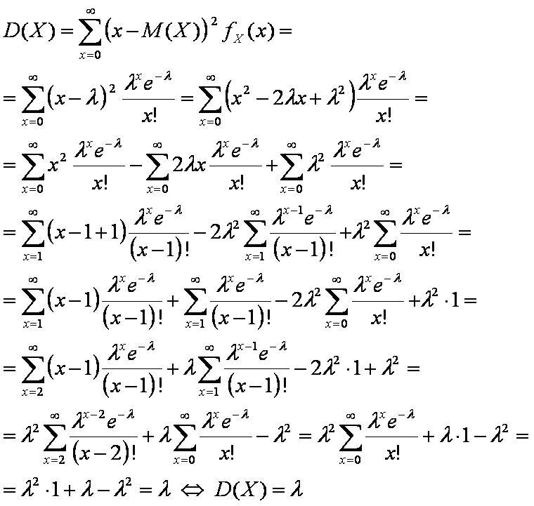
Дисперсия
Другие распределения:
Распределения ДСВ:
- распределение Бернулли;
- биномиальное распределение;
- геометрическое распределение;
- гипергеометрическое распределение;
- дискретное равномерное распределение;
- распределение Пуассона;
Распределения НСВ:
- бета-распределение;
- распределение Вейбулла;
- гамма-распределение;
- квадратичное распределение;
- распределение Коши;
- распределение Лапласа;
- линейное распределение;
- логистическое распределение;
- логнормальное распределение;
- нормальное распределение;
- распределение Парето;
- показательное распределение;
- равномерное распределение;
- распределение Рэлея;
- распределение Сосновского;
- распределение Стьюдента;
- распределение Фишера-Снедекора;
- распределение Хи-квадрат;
- экспоненциальное распределение;
- Эль-распределение.
Ссылки
- Корн Г., Корн Т. Справочник по математике для научных работников и инженеров. М.: Наука, 1970, стр.512.
- Участник:Logic-samara



