Распределение Стьюдента

Материал из Мегапедии
Перейти к: навигация, поиск

Распределение Стьюдента (t-распределение) — это распределение непрерывной случайной величины определяемой формулой от (k+1) независимых случайных величин, распределённых по нормальному закону N(0;σ2).

Обозначения

Xjj-ая независимая случайная величина, распределённая по нормальному закону N(0;σ2), 0≤j≤k;

X — случайная величина, равная отношению случайной величины X0 к средней квадратической величине k независимых случайных величин Xj, 1≤j≤k;

k — параметр распределения — число степеней свободы;

σ2 — дисперсия нормального распределения;

fX(x) — дифференциальная функция распределения — функция плотности вероятности;

FX(x) — интегральная функция распределения — функция вероятности;

Г(x)гамма-функция;

B(x,y)бета-функция;

M(X)средняя — математическое ожидание;

D(X)дисперсия;

σ(X)среднеквадратическое отклонение;

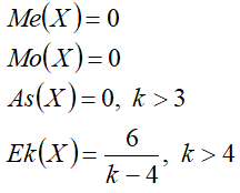
Me(X)медиана;

Mo(X)мода;

As(X)коэффициент асимметрии;

Ek(X)коэффициент эксцесса.

Функции распределения:

Дифференциальная функция

Формулы

СТЬЮ01.png

Графики

СТЬЮ31.png

Интегральная функция

Формулы

СТЬЮ02.png

Графики

СТЬЮ32.png

Характеристики:

СТЬЮ10.png СТЬЮ11.png

Другие распределения:

Ссылки