Распределение Фишера-Снедекора

Материал из Мегапедии
Перейти к: навигация, поиск

Распределение Фишера-Снедекора (F-распределение) — это распределение непрерывной случайной величины, определяемой отношением двух независимых случайных величин, имеющих распределение Хи-квадрат, делённому на отношение соответствующих степеней свободы.

Обозначения

Xjj-ая независимая случайная величина, имеющая распределение Хи-квадрат с kj степенями свободы, 1≤j≤2;

X — случайная величина, равная отношению X1/X2, делённому на отношение k1/k2;

kj — параметр распределения — число степеней свободы, 1≤j≤2;

fX(x) — дифференциальная функция распределения — функция плотности вероятности;

FX(x) — интегральная функция распределения — функция вероятности;

Г(x)гамма-функция;

B(x,y)бета-функция;

M(X)средняя — математическое ожидание;

D(X)дисперсия;

σ(X)среднеквадратическое отклонение;

Mo(X)мода;

As(X)коэффициент асимметрии.

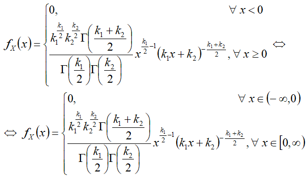
Функции распределения:

Дифференциальная функция

Формулы

ФСН01.png

Графики

ФСН31.png

Интегральная функция

Формулы

ФСН02.png

Графики

ФСН32.png

Характеристики:

ФСН10.png ФСН11.png

Другие распределения:

Ссылки