Число Эйлера

Материал из Мегапедии
Перейти к: навигация, поиск

Число Эйлера — это число eиррациональное и трансцендентное число (математическая константа), основание натурального логарифма. Приблизительно равно 2,718281828….

Бесконечная дробь

Число Эйлера представимо в виде бесконечной дроби.

ЧЭ01.JPG

Рекурсия

Число Эйлера представимо в виде рекурсивной функции.

ЧЭ02.JPG

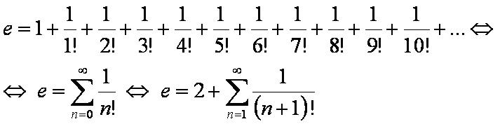
Ряд

Число Эйлера представимо в виде ряда.

ЧЭ03.JPG

Предел

Число Эйлера представимо в виде предела.

Второй замечательный предел

ЧЭ04.JPG

Формула Стирлинга

ЧЭ05.JPG

Ссылки

  • Википедия. Рекурсия. e(число).