Точка, равноудалённая от двух прямых
Точка, равноудалённая от двух прямых, — это точка, наименее удалённая от этих прямых и лежащая на середине перпендикуляра к этим прямым.
Содержание
Обозначения
— радиус-вектор равноудалённой точки;
— радиус-вектор точки на первой прямой;
— радиус-вектор точки на второй прямой;
— направляющий вектор первой прямой;
— направляющий вектор второй прямой;
Формулы:
Векторная форма:
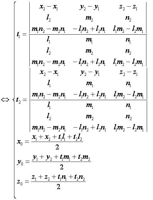
Координатная форма:
- Заметим, что формулы верны только для скрещивающихся прямых.
Другие формулы:
- Основание перпендикуляра из точки к прямой;
- Основание перпендикуляра из точки к плоскости;
- Точка пересечения перпендикуляра к двум прямым с первой прямой;
- Точка пересечения перпендикуляра к двум прямым со второй прямой;
- Точка пересечения прямой и плоскости;
- Точка пересечения трёх плоскостей;
- Точка, равноудалённая от двух прямых;
- Точка, равноудалённая от четырёх точек;
- Точка деления отрезка в данном отношении;
- Точка прямой, находящаяся от первой точки прямой до второй в данном отношении;
- Точка прямой, находящаяся перед первой точкой прямой до второй в данном отношении;
- Точка прямой, находящаяся от первой точки прямой за второй в данном отношении.