Уравнение перпендикуляра к двум прямым
Уравнение перпендикуляра к двум прямым — это уравнение прямой, перпендикулярной к каждой из прямых, задаётся системой равенств нулю смешанных произведений соответствующего вектора-разности радиусов-векторов точек, направляющего вектора и векторного произведения направляющих векторов.
Содержание
Обозначения
— радиус-вектор точки перпендикуляра;
— радиус-вектор точки первой прямой;
— радиус-вектор точки второй прямой;
— направляющий вектор первой прямой;
— направляющий вектор второй прямой;
Формулы:
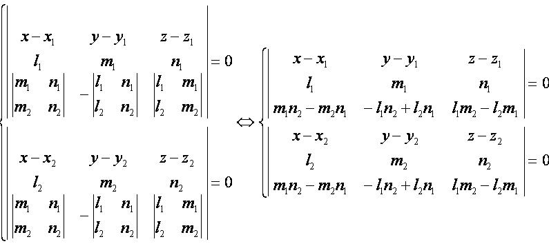
Координатная форма:
- Заметим, что формулы верны только для скрещивающихся прямых.
Пример
Найти уравнение перпендикуляра к этим прямым.
Решение.
Другие уравнения:
- уравнение прямой, проходящей через две точки;
- уравнение прямой, равноудалённой от трёх точек;
- уравнение прямой, проходящей через точку в направлении вектора;
- уравнение прямой, проходящей через точку параллельно прямой;
- уравнение прямой, проходящей через точку перпендикулярно плоскости;
- уравнение прямой, образованной пересечением двух плоскостей;
- уравнение проекции прямой на плоскость;
- уравнение перпендикуляра из точки к прямой;
- уравнение перпендикуляра из точки к плоскости;
- уравнение перпендикуляра к двум прямым.
Ссылки
- Корн Г., Корн Т. Справочник по математике для научных работников и инженеров. М.: Наука, 1970.
- Выгодский М.Я. Справочник по высшей математике. М.: Наука, 1964, стр.192.