Расстояние между прямыми

Материал из Мегапедии
Перейти к: навигация, поиск

Расстояние между прямыми — это длина перпендикуляра к этим прямым, соединяющего две точки этих прямых (одна точка на одной прямой, другая на другой).

Обозначения

ВЕК71.JPG — радиус-вектор точки на первой прямой;

ВЕК72.JPG — радиус-вектор точки на второй прямой;

ВЕК81.JPG — направляющий вектор первой прямой;

ВЕК82.JPG — направляющий вектор второй прямой;

ПРЯ01.JPG — уравнение первой прямой;

ПРЯ02.JPG — уравнение второй прямой;

Д12.JPG — расстояние между первой и второй прямыми.

Формула для скрещивающихся прямых

Для скрещивающихся прямых формула имеет вид:

РПП01.JPG

Расстояние между скрещивающимися прямыми равно отношению модуля смешанного произведения векторов (r2-r1), s1 и s2 к модулю векторного произведения векторов s1 и s2. Геометрический смысл формулы: расстояние - это длина высоты параллелепипеда (построенного на векторах (r2-r1), s1 и s2), опущенной на основание в виде параллелограмма (построенного на векторах s1 и s2), равная отношению объёма параллелепипеда к площади параллелограмма.

Формула расстояния между скрещивающимися прямыми в координатной форме имеет вид:

РПП11.JPG.

Пример

Даны две скрещивающиеся прямые: П01.JPG

Найти расстояние между ними.

Решение.

П010.JPG

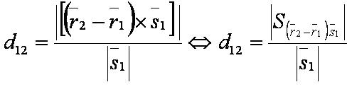
Формула для параллельных прямых

Для параллельных прямых формула имеет вид:

РПП02.JPG

Расстояние между параллельными прямыми равно отношению модуля векторного произведения векторов (r2-r1) и s1 к длине вектора s1. Геометрический смысл формулы: расстояние - это длина высоты параллелограмма (построенного на векторах (r2-r1) и s1), опущенной на основание параллелограмма в виде вектора (s1), равная отношению площади параллелограмма к длине основания.

Формула расстояния между параллельными прямыми в координатной форме имеет вид:

РПП12.JPG.

  • Для параллельных прямых формула верна для векторов (r2-r1) и s2 также, как и для векторов (r2-r1) и s1.

Пример

Даны две параллельные прямые: П02.JPG

Найти расстояние между ними.

Решение.

П020.JPG

Другие формулы:

Ссылки

  • Корн Г., Корн Т. Справочник по математике для научных работников и инженеров. М.: Наука, 1970, стр.84.
  • Выгодский М.Я. Справочник по высшей математике. М.: Наука, 1964, стр.194.