Точка прямой, находящаяся от первой точки прямой до второй в данном отношении
Точка прямой, находящаяся от первой точки прямой до второй в данном отношении, — это точка внутри отрезка прямой между точками.
Содержание
Обозначения
— радиус-вектор искомой внутренней точки прямой;
— радиус-вектор первой точки прямой;
— радиус-вектор второй точки прямой;
— уравнение прямой, проходящей через две точки;
Рисунок
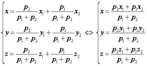
Формулы:
Координатная форма:
- Заметим, что формулы точки прямой, находящейся от первой точки прямой до второй в данном отношении, аналогичны формулам точки деления отрезка в данном отношении.
Другие формулы:
- Основание перпендикуляра из точки к прямой;
- Основание перпендикуляра из точки к плоскости;
- Точка пересечения перпендикуляра к двум прямым с первой прямой;
- Точка пересечения перпендикуляра к двум прямым со второй прямой;
- Точка пересечения прямой и плоскости;
- Точка пересечения трёх плоскостей;
- Точка, равноудалённая от двух прямых;
- Точка, равноудалённая от четырёх точек;
- Точка деления отрезка в данном отношении;
- Точка прямой, находящаяся от первой точки прямой до второй в данном отношении;
- Точка прямой, находящаяся перед первой точкой прямой до второй в данном отношении;
- Точка прямой, находящаяся от первой точки прямой за второй в данном отношении.
Ссылки
- Корн Г., Корн Т. Справочник по математике для научных работников и инженеров. М.: Наука, 1970.
- Выгодский М.Я. Справочник по высшей математике. М.: Наука, 1964, стр.135.
- Бронштейн М.Н., Семендяев К.А., Справочник по математике. М., 1956, стр.219.