Ряд Фурье комплексный

Материал из Мегапедии
Перейти к: навигация, поиск

Ряд Фурье комплексный — это ряд Фурье в комплексной форме (являющийся разложением функции f(x) на интервале [-l,l]), в котором слагаемыми служат комплексные функции cneiπnx/l, а коэффициенты cn — это комплексные числа.

Формулы:

Разложение функции f(x) на интервале [-l,l]:

ФУК01.JPG

Разложение функции f(x) на интервале [-π, π]:

ФУК02.JPG

Пример

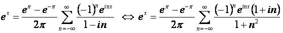
Разложение функции f(x)=ex на интервале [-π, π].

Сначала определяем коэффициенты:

ФУК11.JPG

Окончательно, получаем разложение Фурье в комплексной форме:

ФУК12.JPG

Другие ряды:

Ссылки

  • Бермант А.Ф., Араманович И.Г. Краткий курс математического анализа для втузов. М.: Наука, 1973.
  • Участник:Logic-samara