Ряд Лорана

Материал из Мегапедии
Перейти к: навигация, поиск

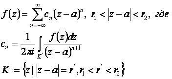
Ряд Лорана — это степенной ряд для комплексной функции f(z), аналитичной в кольце между двумя концентрическими окружностями K1 и K2 с центрами в точке a и радиусами r1 и r2 и r1<r2, являющийся разложением по положительным и отрицательным степеням (z-a).

Формула

ЛОР01.JPG

Ряд Лорана можно представить в виде:

ЛОР02.JPG

Другие ряды:

Ссылки

  • Корн Г., Корн Т. Справочник по математике для научных работников и инженеров. М.: Наука, 1970.
  • Участник:Logic-samara