Ряд Фурье

Материал из Мегапедии
Перейти к: навигация, поиск

Ряд Фурье — это тригонометрический ряд (являющийся разложением функции f(x) на интервале [-l,l]), в котором слагаемыми служат функции ancos(cnx) и bnsin(cnx), а коэффициенты an, bn, cn=πn/l — это числа.

  • Периодическая функция f(x) имеет дискретный спектр, т.е. она может быть представлена в виде отдельных гармоник с частотами πn/l.

Формулы:

Разложение функции f(x) на интервале [-l,l]:

ФУР01.JPG

Разложение функции f(x) на интервале [-π, π]:

ФУР02.JPG

Разложение чётной функции fчёт(x) на интервале [-l,l]:

ФУР03.JPG

Разложение нечётной функции fнечёт(x) на интервале [-l,l]:

ФУР04.JPG

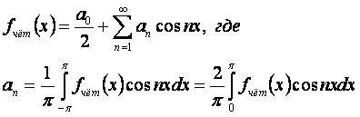
Разложение чётной функции fчёт(x) на интервале [-π, π]:

ФУР05.JPG

Разложение нечётной функции fнечёт(x) на интервале [-π, π]:

ФУР06.JPG

Разложение функции f(x) по косинусам на интервале [0,l]:

ФУР07.JPG

Разложение функции f(x) по синусам на интервале [0,l]:

ФУР08.JPG

Разложение функции f(x) по косинусам на интервале [0,π]:

ФУР09.JPG

Разложение функции f(x) по синусам на интервале [0,π]:

ФУР10.JPG

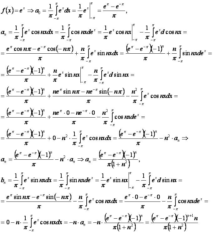
Пример

Разложение функции f(x)=ex на интервале [-π, π].

Сначала находим коэффициенты:

ФУР11.JPG

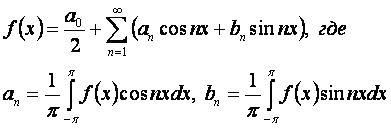
Окончательно, получаем разложение Фурье:

ФУР12.JPG

Другие ряды:

Ссылки

  • Бермант А.Ф., Араманович И.Г. Краткий курс математического анализа для втузов. М.: Наука, 1973.
  • Участник:Logic-samara