Площадь икосаэдра

Материал из Мегапедии
Перейти к: навигация, поиск
Икосаэдр

Площадь икосаэдра — это число, характеризующее икосаэдр в единицах измерения площади.

Икосаэдр — это двадцатигранник с равными гранями из правильных треугольников.

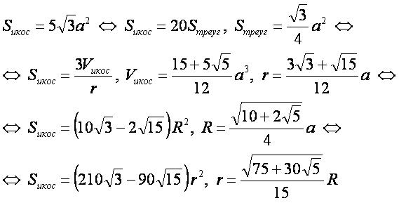
Обозначения

a — длина ребра;

r — радиус вписанной сферы;

R — радиус описанной сферы;

Sтреугплощадь правильного треугольника (грани);

Vикособъём икосаэдра;

Sикосплощадь поверхности икосаэдра.

Формулы:

ПИКО01.JPG

Другие многогранники:

Ссылки

  • Википедия. Икосаэдр.