Площадь треугольника
Площадь треугольника — это число, характеризующее треугольник в единицах измерения площади.
Содержание
Определение:
Треугольник — это фигура, имеющая три вершины, не лежащие на одной прямой, и три стороны, соединяющие эти вершины.
Виды треугольников:
Обозначения
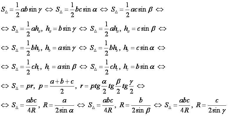
a — первая сторона;
b — вторая сторона;
c — третья сторона;
ha — высота, опущенная на сторону a;
hb — высота, опущенная на сторону b;
hc — высота, опущенная на сторону c;
α — угол напротив стороны a;
β — угол напротив стороны b;
γ — угол напротив стороны c;
p — полупериметр треугольника;
r — радиус вписанной окружности;
R — радиус описанной окружности;
SΔ — площадь треугольника.
Формулы:
Формулы в векторной и координатной форме
— радиус-вектор третьей точки;
— нормаль к плоскости, проходящей через заданные точки;
p — отклонение начала координат от плоскости, проходящей через заданные точки.
- Формула с параметром p применима, только когда p≠0.
Если третью точку взять в начале координат, то можно применять следующую формулу:
Формула Герона
a — сторона, расположенная между второй и третьей точками;
b — сторона, расположенная между первой и третьей точками;
c — сторона, расположенная между первой и второй точками;
p — полупериметр треугольника.
где
Другие многоугольники:
Ссылки
- Корн Г., Корн Т. Справочник по математике для научных работников и инженеров. М.: Наука, 1970. стр.75.
- Бронштейн М.Н., Семендяев К.А., Справочник по математике. М., 1956, стр.166, стр.187.
