Площадь ромба

Материал из Мегапедии
Перейти к: навигация, поиск
Ромб

Площадь ромба — это число, характеризующее ромб в единицах измерения площади.

Ромб — это четырёхугольник у которого все стороны равны и противоположные стороны параллельны.

Обозначения

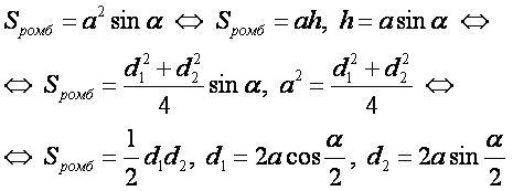
a — сторона;

h — высота (опущенная на сторону);

α — острый (меньший) угол между сторонами;

β — тупой (больший) угол между сторонами (β=π-α);

γ — острый (меньший) угол между диагоналями;

d1 — большая диагональ (из угла α);

d2 — меньшая диагональ (из угла β);

Sромб — площадь ромба.

Формулы:

ПРОМ01.JPG

Другие многоугольники:

Ссылки