Начальный момент k-ого порядка дискретной случайной величины

Материал из Мегапедии
Перейти к: навигация, поиск

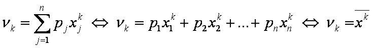
Начальный момент k-ого порядка — это числовая характеристика случайной величины, равная средней величины xk.

Обозначения:

n — число значений дискретной случайной величины;

xjj-ое значение случайной величины;

pjвероятность появления j-ого значения случайной величины;

СРЕ00.JPGсредняя — математическое ожидание;

νkначальный момент k-ого порядка.

Формулы:

НМО21.JPG

Другие формулы:

Ссылки