Дециль дискретной случайной величины
Дециль — это числовая характеристика случайной величины, характеризующая десятые части совокупности.
Содержание
Обозначения:
n — число значений дискретной случайной величины;
xj — j-ое значение случайной величины;
pj — вероятность появления j-ого значения случайной величины;
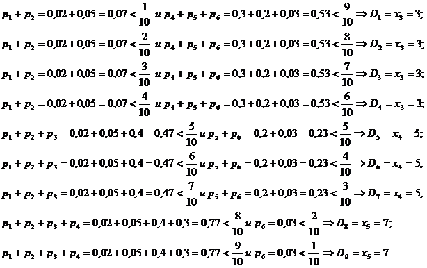
Di — дециль, характеризующая i десятых частей совокупности, — это граница между i-ой и i+1-ой частями, 1≤i<10.
Формулы:
- У дискретной случайной величины может не быть k-ой децили, 1≤k<10.
При отсутствии k-ой децили у дискретной случайной величины, если в упорядоченном ряду её значений есть накопительные от начала суммы вероятностей равные k/10, иногда применяют вспомогательную формулу:
- Дециль D5 равна медиане Me.


