Длина дуги эллипса
Длина дуги эллипса — это число, характеризующее протяжённость дуги эллипса в единицах измерения длины.
Обозначения
a — большая полуось;
b — малая полуось;
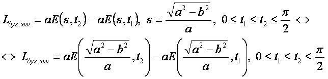
ε — эксцентриситет;
x2/a2+y2/b2=1 — каноническое уравнение эллипса;
t1 — параметр первой точки дуги;
t2 — параметр второй точки дуги;
t — параметрическая переменная — угол между осью ординат и радиус-вектором точки эллипса;
x=asint — параметрическое уравнение абсциссы эллипса;
y=bcost — параметрическое уравнение ординаты эллипса;
E(k,t) — эллиптический интеграл II рода;
Lдуг.элл — длина дуги эллипса.
Формула
- Периметр эллипса равен Pэлл=4aE(ε,π/2).
Вывод формулы
- Для вывода используется формула "длина дуги плоской кривой" в параметрической форме (параметр t – это угол между осью ординат и радиус-вектором точки эллипса).
- Для нахождения интеграла используется эллиптический интеграл II рода.
Другие кривые:
Ссылки
- Википедия. Эллипс.
- Храбров А.И. Немного об эллиптических интегралах. http://www.math.spbu.ru/analysis/f-doska/ellint.pdf