Длина дуги параболы
Длина дуги параболы — это число, характеризующее протяжённость дуги параболы в единицах измерения длины.
Обозначения
x1 — абсцисса первой точки дуги;
y1 — ордината (меньшая) первой точки дуги;
x2 — абсцисса второй точки дуги;
y2 — ордината (большая) второй точки дуги;
p — фокальный параметр;
y2=2px — каноническое уравнение параболы;
Lдуг.пар — длина дуги параболы.
Формула
- Заметим, что формула верна для точек с положительными и отрицательными ординатами, причём y2>y1.
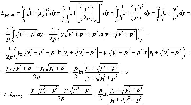
Вывод формулы
- Для вывода используется формула "длина дуги плоской кривой" в прямоугольных координатах.
- Для нахождения интеграла используется формула 1 интегралы функций с корнями.